イソチオシアネート
目次
大根の辛味は、ラデッシュ(酵素)だと思っていた。
NHK チコちゃんを見ていると、グルコシノレートとミロシナーゼの反応により、イソチオシアネートが生成される。これが辛味の正体である、との解説。
- グルコシノレートは配糖体またはグルコシドの一種
- 配糖体またはグルコシドは、グルコシド結合により他の物質と結合した化合物の総称
- 配糖体の元となった糖を「グリコン; glycon」という。残りの分子をアグリコン; aglyconという
- 天然に知られるグリコシドは以下の4つ
- O-グリコシド: O-グリコシド(狭義の配糖体)は、環状の糖のヘミアセタール性ヒドロキシ基にアグリコンのヒドロキシ基が縮合してできた配糖体。アントシアニンが含まれる。
- S-グリコシド
- C-グリコシド
- N-グリコシド: N-グリコシド(窒素配糖体)は、窒素を仲立ちに糖と塩基が結合してできた配糖体。ヌクレオシドのアデニンなど。
余談になりますが、これらグリコシド反応、すなわち糖化の反応はバイオロジクスにおいては結構重要な反応です。この話題に興味があれば、以下の記事もご覧ください。

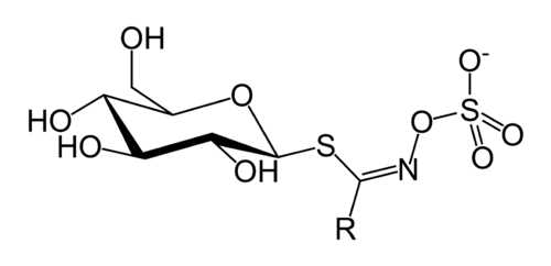
グルコシノレートは上図の様な構造をしています。硫黄(S)が含まれています。これをミロシナーゼという酵素が反応(分解反応)することで、イソチオシアネートを作り出します。
上図の左側にある妖怪「一反木綿」のような構造が、「糖」部分です。中央の部分の「RとSとNおよび書かれていませんが、中央の交差部分はC」がある部分に「ミロシナーゼ」と言う酵素が反応することで、Cに結合していたRがNに結合が転移し、Sは「糖」との結合が外れてCと二重結合を作ります。これがいそチオシアネートです。
イソチオシネートの基本骨格は、下図に示したように「-N=C=X」です。Rは何でもない構いません。

イソチオシアネートは揮発性であるため、すり下ろし直後で最も辛い。しかも、目の細いおろし器を使った方が、より辛い。
なぜなら、これら成分は、細胞が壊れて出てくるので、より細かく潰すことで、それらの成分が多く出てくるためである。
配糖体
https://ja.wikipedia.org/wiki/配糖体
編集履歴
2020/02/14, MR.HARIKIR
2021/10/23,追記(wikipediaの図、反応の解説)
総PV:5,332 (+0 / 基準日: 2026-05-24)